近日,437ccm必赢国际版统计物理与复杂系统课题组“黄山学者”特聘教授李明研究员、王俊峰副教授与中国科学技术大学邓友金教授合作,在爆炸逾渗(Explosive percolation)相变理论研究方面取得重要进展。通过基于事件的系综(Event-based ensemble)和蒙特卡洛模拟,澄清了在传统系综下长期被认为具有奇异有限尺度行为的爆炸逾渗相变,事实上可由该系综下标准的有限尺度标度理论描述。相关研究成果以“Explosive Percolation Obeys Standard Finite-Size Scaling in an Event-Based Ensemble”为题,于4月4日发表在物理学顶级期刊Physical Review Letters上(Phys. Rev. Lett., 130, 2023, 147101)。

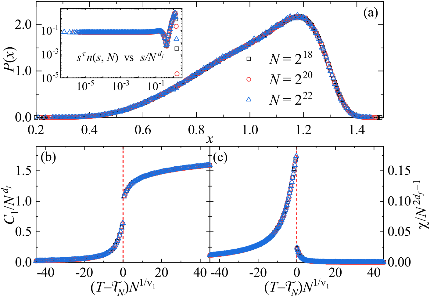
图1 在基于事件的系综下,爆炸逾渗的相关物理量展现出标准的有限尺度标度行为。
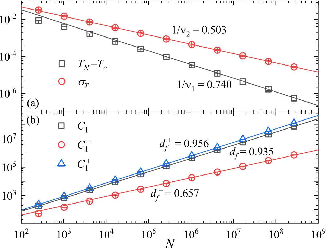
相变是物质从一种状态转变为另一种状态的过程,如固态-液态相变、超导态-正常态相变等。相变过程中系统所展示的各种现象,即所谓临界现象,可以普适地用相变理论描述,而不依赖于系统的具体类型。相变理论的普适性已在实验中得到了广泛的证实,同时在各种相变模型中也得到了充分的展示,例如逾渗相变模型。然而,爆炸逾渗模型仅在经典逾渗模型中引入简单的竞争机制,却呈现出的各种超出标准相变理论预言的奇异临界行为,因而备受关注。最初,该相变被认为是不连续相变,后续的研究认为该相变仍属连续相变,但具有奇异的有限尺度行为,例如多重标度行为,甚至非物理的行为。这都对相变理论提出了新的挑战。本研究中,作者提出了用基于事件的系综观测相变与临界行为的方案,结果得到了“干净”的临界行为,证实爆炸逾渗相变仍遵循标准的有限尺度标度理论;以往研究报道的各种奇异行为是在赝临界点大涨落影响下的混合行为。通过文中所提出的交跨标度理论(Crossover scaling theory),可以定量地解释这些行为。该研究所提出的基于事件的系综与交跨标度理论不仅成功解决了爆炸逾渗相变的难点,也有望应用于各种无序系统的相变研究,有着广泛的应用前景。

图2 爆炸逾渗中的多重标度行为及其交跨标度理论解释。
该论文是首篇以bwin必赢线路检测为第一完成单位在Physical Review Letters上发表的论文。作者依次为437ccm必赢国际版李明研究员、王俊峰副教授和中国科学技术大学邓友金教授,其中李明研究员与邓友金教授是论文的共同通讯作者。该项研究得到了bwin必赢线路检测引进人才条件建设经费、国家自然科学基金、国家重点研发计划的资助。
论文链接:https://link.aps.org/doi/10.1103/PhysRevLett.130.147101
(李明 王俊峰/图文 巩惠玲 高伟清/审核)